Linear Algebra is technically part of the undergraduate Calculus sequence, usually taken the sophomore year, but there is almost no Calculus in the course! Linear Algebra is usually considered a more difficult course, especially in a classroom/textbook format. Our Linear Algebra via Distance Calculus is a beautiful course, with masterful use of Mathematica that brings together the topics in a highly visual way, giving the student both theoretical and computational understanding of the very important topics of Linear Algebra, especially for economics, data science, computer science, engineering, and financial mathematics.
Completion of DMAT 336 - Computational Linear Algebra earns 4 academic credit semester hours with an official academic transcript from Roger Williams University, in Providence, Rhode Island, USA, which is regionally accredited by the New England Commission of Higher Education (NECHE), facilitating transfer of credits nationwide to other colleges and universities.

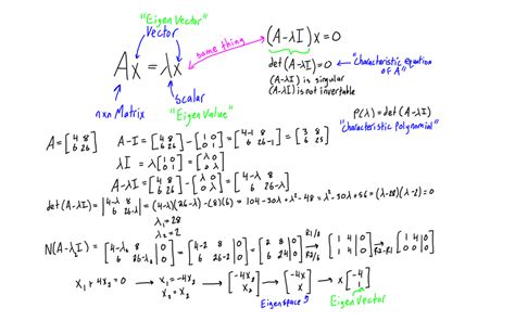
Traditional approaches to the subject include learning tedious manual computations on matrices, followed by an introduction to a more abstract approach to looking at a class of examples called linear spaces.
Algebra 1 Summer Course 2023
Our approach in this course is not a traditional one. In the words of the authors of the curriculum, This is not your mother's (or father's) linear algebra course, referring to the fact that someone who took an introductory linear algebra course years ago would not recognize much similarity with this course.
Leveraging the high-powered computer algebra and graphing system Mathematica™ by Wolfram Research, the course curriculum Matrices, Geometry, & Mathematica by Davis/Porta/Uhl bypasses the traditional manual calculation tedium, and leapfrogs to a computationally-based, geometric, experimentation-centered approach to the subject. Instead of learning manual computations that are today easily completed by any computer algebra system, this course races into topics that are seldom found in any linear algebra textbook - a quite unique, fresh, and powerful approach to the subject.
Students completing this Matrices, Geometry, & Mathematica curriculum will have a thorough understanding of the geometry of linear algebra, the solutions of linear systems of equations, and the theoretical investigation of the generalized linear spaces concept (although only lightly dabbling in proofs - just the right amount for this course level).
The 250 Most Popular Online Courses Of All Time — Class Central
Course Description: A first course in matrix algebra and linear spaces with emphasis on computational software techniques and geometrical analysis. Topics include matrices, solutions of systems of linear equations, determinants, linear spaces and transformations, inner products, higher dimensional spaces, inverses and pseudoinverses, rank, Singular Value Decomposition, bases, rank, Eigenvalues and Eigenvectors, matrix decomposition and diagonalization. [4 Semester Credits]
In 2023, Distance Calculus introduced a new catalog of courses. The connection between the old courses and the new courses are given here:
Legacy Course Description: Presents matrices, determinants, vector spaces, linear transformations, eigenvectors and eigenvalues, diagonalization, solution of systems of linear equations by the Gauss-Jordan method, and applications. (3 credits)
I'm Taking Ap Calculus Bc As A Sophomore, And I Will Take Multivariable Calculus And Linear Algebra (each Lasting A Semester) In My Junior Year. What Would Be The Best Courses To
Below are some PDF print outs of a few of the Mathematica™ notebooks from Matrices, Geometry, & Mathematica by Davis/Porta/Uhl. Included as well is an example homework notebook completed by a student in the course, demonstrating how the homework notebooks become the common blackboards that the students and instructor both write on in their conversation about the notebook.
That Looks Like Programming Code! Yes, Mathematica™ is a syntax-based computer algebra system - i.e. the instructions to generate the graphs and computations look like a programming language code (which it is).
This course is not a course on programming. We do not teach programming, nor do we expect the students to learning programming, or even to know anything about programming. The mathematics is what is important in this course, not the code.

Data Science Summer School
With that tenet in mind, the authors of the Matrices, Geometry, & Mathematica courseware have designed the explanation notebooks (Basics & Tutorials) and the homework notebooks (Give It a Try) in such a way as to make it easy to Copy/Paste from the explanations into the homework notebooks, and make minor changes (obvious ones) to produce the desired similar (but different) output. In this way, we are able to stick strickly to the mathematics at hand, and deal with the programming code as minimally as possible.
Review: I took the whole calculus series and Linear Algebra via Distance Calculus. Dr. Curtis spent countless hours messaging back and forth with me, answering every question, no matter how trivial they might seem. Dr. Curtis is extremely responsive, especially if the student is curious and is willing to work hard. I don't think I ever waited much more than a day for Dr. Curtis to get a notebook back to me. Dr. Curtis would also make videos of concepts if I was really lost. The course materials are fantastic. If you are a student sitting on the fence, trying to decide between a normal classroom class or Distance Calculus classes with Livemath and Mathematica, my choice would be the Distance Calculus classes every time. The Distance Calculus classes are more engaging. The visual aspects of the class notebooks are awesome. You get the hand calculation skills you need. The best summary I can give is to say, given the opportunity, I would put my own son's math education in Dr. Curtis's hands.
Review: Fantastic courses! I barely made it through Cal 1, and halfway through Cal 2 I found this program. I took Cal 2 and then Multivariable and I just loved it! SOOOOOOO much better than a classroom+textbook class. I highly recommend!
Linear Algebra And Its Applications By Gilbert Strang
Review: Curriculum was high quality and allowed student to experiment with concepts which resulted in an enjoyable experience. Assignment Feedback was timely and meaningful.Linear algebra is probably the easiest and the most useful branch of modern mathematics. Indeed, topics such as matrices and linear equations are often taught in middle or high school. On the other hand, concepts and techniques from linear algebra underlie cutting-edge disciplines such as data science and quantum computation. And in the field of numerical analysis, everything is linear algebra!
Today, I am proud to announce a free interactive course, Introduction to Linear Algebra, that will help students all over the world to master this wonderful subject. The course uses the powerful functions for matrix operations in the Wolfram Language and addresses questions such as “How long would it take to solve a system of 500 linear equations?” or “How does data compression work?”

I invite you to start exploring the interactive course by clicking anywhere in the following image before reading the rest of this post.
A 2020 Vision Of Linear Algebra
The ancient Babylonians and Chinese knew how to solve simple systems of linear equations with two or three equations. However, the first systematic method for solving linear systems was given in 1750 by Gabriel Cramer, who formulated a rule for solving such systems using determinants. This was followed by the 1810 work of Carl Friedrich Gauss, who developed the technique known as Gaussian elimination for solving linear systems. Next, in 1850, James Joseph Sylvester introduced the notion of a matrix to represent arrays of numbers such as those formed by the coefficients of a linear system. A few years later, around 1855, Arthur Cayley published his work on the theory of matrices and operations on them. Finally, in 1888, Giuseppe Peano defined the notion of an abstract vector space, which plays a unifying role in modern linear algebra.
In keeping with the historical development, Introduction to Linear Algebra focuses on matrices and determinants, while vector spaces are discussed only when necessary during the course.
Students taking this course will receive a thorough introduction to linear algebra including standard topics, such as linear systems, geometric transformations, matrix operations, determinants and eigenvalues. The course also includes a few advanced topics, such as the singular value decomposition, one of the most valuable concepts in applied linear algebra. Here is a sneak peek at some of the topics in the course (shown in the left-hand column):
How To Learn Linear Algebra From Zero
I have worked hard to keep the course down to a reasonable length, and I expect that you will finish watching the 29 videos and also complete the five short quizzes in about five hours. (Hence the title of the post!)

Finally, I assume that the students are familiar with high-school algebra and basic trigonometry, but no calculus is required for this course.
The heart of the course is a set of 25 lessons, beginning with “What Is Linear Algebra?”. This introductory lesson includes a discussion of the different approaches to linear algebra, followed by a brief history of the subject and an outline of the course. Here is a short excerpt from the video for this lesson:
Now Available: Robotics 101 Online
Further lessons begin with an overview of the topic (for example, eigenvalues and eigenvectors), followed by a discussion of the key concepts interspersed with examples that illustrate the ideas using Wolfram Language functions for matrix computations.
The videos range from 7 to 12 minutes in length, and each video is accompanied by a transcript notebook displayed on the right-hand side of the screen. You can copy and paste Wolfram Language input directly from the transcript notebook to the embedded scratch notebook to try the examples for yourself.
Each lesson is accompanied by a set of five exercises to review the concepts covered during the lesson. Since this course is designed

0 Comments
Posting Komentar